不銹鋼氮碳共滲處理的主要目的是提高工件的表面硬度、耐磨性能和耐疲勞性能(對于非不銹鋼還有耐腐蝕性能)。
1.氮碳共滲層的組織
氮碳共滲是同時向工件表面滲入氮和碳。工件經氮碳共滲后,表面獲得共滲組織。因為處理溫度較低(一般低于600℃),在這個溫度范圍,氮在α相中的固溶量遠高于碳在α相中的固溶量,且氮的擴散速度快于碳的擴散速度,所以,在工件表面層,即化合物層的組織是ε相(Fe2~3?N)、γ相(Fe4?N)及Fe3?C的混合組織,含氮約7.4%,含碳約1%。在表面層內部即擴散層組織基本是ε相(Fe2~3?N)和γ相(Fe4?N),氮的含量減少。不銹鋼的氮碳共滲組織中還含有鉻、鉬等合金元素的氮化物。在共滲溫度,因碳的擴散很慢,其只能以碳化物(如Fe3?C)的形式存在于化合物層中。
由于合金元素的影響,與碳鋼相比,在相同條件下不銹鋼氮碳共滲層硬度更高,但滲層深度淺,硬度變化梯度大,見圖7-7。圖7-8是ZGCr28的氮碳共滲組織圖。
2.氣體氮碳共滲
氣體氮碳共滲就是把工件放在含有可分解成氮原子和碳原子氣氛的密閉設備中,在一定的壓力和溫度條件下完成氮碳共滲的處理方法。
氣體氮碳共滲的介質常見有以下幾種。
(1)混合氣體,即氨氣中加入吸熱式氣氛或放熱式氣氛進行共滲。
其中,吸熱式氣氛(RX)由乙醇、丙醇等裂解,或由烴類氣體制備而成。吸熱式氣氛(RX)的成分控制為: H2為32%~40%,CO為20%~24%,CO2≤1%,N2為38%~43%。當NH3∶RX≈1∶1,控制氣氛露點±0℃時,即可獲得較理想的共滲結果。
氨氣中加入放熱性氣氛(NX)進行氮碳共滲時,放熱式氣氛成分控制為: CO2≤10%,CO≤5%,H2<1%,其余為N2。控制NH3∶NX≈(5~6)∶(5~4)。由于放熱式氣氛中CO含量較低,在與氨氣混合進行共滲時,排出廢氣中的有毒物質較低。
(2)尿素[(NH2)2?CO]。將尿素在500℃以上溫度熱解,分解成活性氮原子和碳原子滲入工件表面。
(3)滴注式氣體共滲。即將甲酰胺、乙酰胺、三乙醇胺、尿素、甲醇、乙醇等以不同比例配制成滴注劑。滴入密封爐內,在一定的溫度條件下得到活性氮原子和碳原子滲入工件表面,完成氮碳共滲過程。
氣體氮碳共滲的滲層深度及表面硬度與共滲溫度、共滲時間都有一定的關系。這些因素影響的一般規律如下。


圖7-8 ZGCr28鋼液體氮碳共滲層(上部白亮區)
(經300℃回火、滲層疏松級別3級)
共滲溫度的影響:一般氣體氮碳共滲溫度在540~580℃,隨共滲溫度升高,滲層深度增加,表面硬度先隨溫度升高而增高,在570℃左右時硬度最高,然后溫度再升高,硬度呈下降趨勢。
共滲時間的影響:在40% NH3,吸熱型氣氛60%,570℃共滲時,隨著時間的延長,共滲層深度、表面硬度均呈增加的趨勢。
氣體氮碳共滲工件可以空冷、油冷或水冷。冷卻速度越快,變形越大,但表面硬度和抗疲勞強度越高。
3.液體氮碳共滲
液體氮碳共滲也稱鹽浴氮碳共滲,即在含有活性氮原子和活性碳原子的熔鹽液中完成氮和碳滲入工件表面的過程。
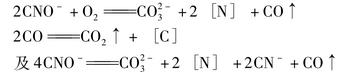
早期的液體氮碳共滲用鹽主要是含有NaCN和KCN的氰鹽。氰鹽熔化后經過氧化產生氰酸鹽,再由氰酸鹽氧化或分解獲取活性氮原子[N]和活性碳原子[C]。
主要的化學反應有:

KCN也是由上述反應獲取的[N]和[C]滲入工件表面,從而完成氮碳共滲過程。
生產中用氰酸根CNO-的濃度評定鹽浴活度,通過控制CNO-的含量來控制氮碳共滲層的質量。
氰鹽鹽浴穩定性好,流動性也好,共滲質量穩定、效果好,但其毒性大,現已很少使用。
還有一種以尿素和碳酸鹽為主要原材料的混合鹽,加熱后產生化學反應生成氰酸鹽:
2(NH2)2?CO+Na2?CO3=2NaCNO+ 2NH3↑+H2O+CO2↑再由氰酸鹽氧化和分解獲取活性氮原子和活性碳原子:

這種混合鹽熔化時損耗大,污染嚴重,反應生成物中含有氰化物,有較大的毒性,而且,鹽浴穩定性差,鹽浴成分調整困難,已經逐漸減少使用。
目前比較常用的鹽是由專業廠生產的成品鹽,經加熱熔化后直接使用。
成品鹽分兩種,一種是基鹽,主要成分為含40%左右的CNO-; 17%左右的
,其余為堿金屬離子K+或Na+。基鹽是用于第一次熔化或鹽浴耗損后補充用的。另一種是調整鹽,調整鹽用于調整鹽浴使用,當CNO-降低至工藝要求后,來提高CNO-濃度的。
無論使用的是哪類鹽,最終都是依靠氰酸鹽的氧化、分解來獲取活性氮原子和活性碳原子,即有如下的基本反應活性氮原子[N]和活性碳原子[C]被工件表面吸收并向內擴散,完成氮碳共滲過程。

液體氮碳共滲生產過程中的安全問題是一個需特殊說明的問題。
液體氮碳共滲生產中,除注意熱處理生產的常規安全規定外,還應特別注意以下各環節中可能產生的安全、環保問題。
①鹽浴的熔化和調整。氮碳共滲鹽浴熔化和調整時,應注意防止熔鹽的迸濺,特別是初次使用的熔鹽或凝固后重新開爐時,由于表面結殼,內部熔鹽突噴造成的傷害。
鹽熔化時會產生廢氣,應抽風排出室外高空中。
②用氧化鹽浴冷卻。共滲鹽浴溫度高,氧化鹽浴溫度低,在工件從共滲爐出爐入氧化鹽浴爐冷卻時,要注意預冷,防止氧化鹽浴的迸濺和逸出。
③清洗用水的處理。氮碳共滲用原料是無毒的,但在鹽浴熔化、使用中,會因化學反應生成有毒物CN-,在工件清洗時帶入水中。為減少或清除水中的CN-,可用含有次氯酸鈉(NaOCl)的制劑或用硫酸亞鐵(FeSO4)與工業漂白粉[Ca(OCl)·4H O]來中和分解CN-,保證水中的CN-降至最低。22
液體氮碳共滲滲層質量常見的缺陷及預防措施見表7-9。不銹鋼液體氮碳共滲工藝及效果見表7-10。
表7-9 液體氮碳共滲常見缺陷及預防措施

表7-10 不銹鋼液體氮碳共滲工藝及效果














